网站首页  词典首页


请输入您要查询的字词:

 

字词 四通阀控制液压缸
类别 中英文字词句释义及详细解析
释义 四通阀控制液压缸

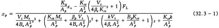
四通阀控制液压缸简称四通阀控缸,其组成回路如图32.3-1所示。它的能源采用恒压源。

一般四通阀多用理想的零开口阀或正开口阀。其传递函数表达式为

式中 xp——液压缸活塞位移;

xv——液压滑阀位移;

Mt——活塞及折算到活塞上的总质量;

Bp——活塞及负载等运动件的粘性摩擦系数;

k——负载运动时的弹性负载刚度;

FL——作用在活塞上的综合负载力;

Vt——液压缸等效总容积;

Ap——活塞面积;

βe——液压流体的容积弹性模量;

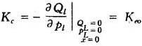
Kce=Kc+Ct,包括泄漏在内的总的压力流量系数。其中Ct总是泄漏系数,Ci,Ce分别为内外泄漏系数。Kc为阀的压力流量系数,一般取

随便看

 

离鸟网收录3541549条中英文词条,其功能与新华字典、现代汉语词典、牛津高阶英汉词典等各类中英文词典类似,基本涵盖了全部常用中英文字词句的读音、释义及用法,是语言学习和写作的有利工具。

 

Copyright © 2004-2024 vtrois.com All Rights Reserved
更新时间:2026/4/17 20:03:50