网站首页  词典首页


请输入您要查询的字词:

 

字词 四环素[典]
类别 中英文字词句释义及详细解析
释义 四环素[典]

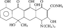
C22H24N2O8=444.44

CAS-60-54-8

4-二甲氨基-1,4,4a,5,5a,6,11,12a-八氢-3,6,10,12,12a-五羟-6-甲基-1,11-二氧-2-并四苯甲酰胺。

4-(Dimethylamino)-1,4,4a,5,5a,6,11,12a-octahydro-3,6,10,12,12a-pentahydroxy-6-methyl-1,11-dioxo-2-naphthacenecarboxamide.

抗生素类药。用于革兰氏阳性球菌和阴性杆菌的感染、斑疹伤寒、恙虫病等立克次体的感染、阿米巴痢疾及非典型性肺炎。

Tetracycline,Tetracyn,SK-tetracycline.

四环素片,四环素眼膏,四环素软膏,四环素胶囊。

INN,BAN,BP,DCF,DCIT,FP,JP,NF,NFN,USNA,USP,MI.

随便看

 

离鸟网收录3541549条中英文词条,其功能与新华字典、现代汉语词典、牛津高阶英汉词典等各类中英文词典类似,基本涵盖了全部常用中英文字词句的读音、释义及用法,是语言学习和写作的有利工具。

 

Copyright © 2004-2024 vtrois.com All Rights Reserved
更新时间:2026/4/20 13:52:10