网站首页  词典首页


请输入您要查询的字词:

 

字词 四氧普林
类别 中英文字词句释义及详细解析
释义 四氧普林

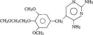
C16H22N4O4=334.37

CAS-53808-87-0

5-[[3,5-二甲氧-4-(2-甲氧基乙氧)]苯甲基]-2,4-嘧啶二胺。

5-[[3,5-Dimethoxy-4-(2-methoxyethoxy)]phenylmethyl]-2,4-pyrimidinediamine.

2,4-二氨基-5-[3,5-二甲氧-4-(2-甲氧基乙氧)苄基]嘧啶。

2,4-Diamino-5-[3,5-dimethoxy-4-(2-methoxyethoxy)benzyl]pyrimidine.

抗感染药,抗菌药,二氢叶酸阻断药。

Tetroxoprim.

INN,BAN,USAN.

随便看

 

离鸟网收录3541549条中英文词条,其功能与新华字典、现代汉语词典、牛津高阶英汉词典等各类中英文词典类似,基本涵盖了全部常用中英文字词句的读音、释义及用法,是语言学习和写作的有利工具。

 

Copyright © 2004-2024 vtrois.com All Rights Reserved
更新时间:2026/4/18 12:03:05