网站首页  词典首页


请输入您要查询的字词:

 

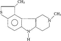
字词 噻诺卡宾
类别 中英文字词句释义及详细解析
释义 噻诺卡宾

C15H16N2S=256.36

CAS-75458-65-0

7,8,9,10-四氢-1,9-二甲基-6H-吡啶并[4,3-b]噻吩并[3,2-e]吲哚。

7,8,9,10-Tetrahydro-1,9-dimethyl-6H-pyrido[4,3-b]thieno[3,2-e]indole.

抗抑郁药。

Tienocarbine.

INN,USAN.

随便看

 

离鸟网收录3541549条中英文词条,其功能与新华字典、现代汉语词典、牛津高阶英汉词典等各类中英文词典类似,基本涵盖了全部常用中英文字词句的读音、释义及用法,是语言学习和写作的有利工具。

 

Copyright © 2004-2024 vtrois.com All Rights Reserved
更新时间:2026/4/18 19:46:31