网站首页  词典首页


请输入您要查询的字词:

 

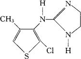
字词 噻美尼定
类别 中英文字词句释义及详细解析
释义 噻美尼定

C8H10ClN3S=215.70

CAS-31428-61-2

N-(2-氯-4-甲基-3-噻嗯基)-4,5-二氢-1H-咪唑-2-胺。

1H-Imidazol-2-amine,N-(2-chloro-4-methyl-3-thienyl)-4,5-dihydro.

2-[(2-氯-4-甲基-3-噻嗯基)氨基]-2-咪唑啉。

2-[(2-Chloro-4-methyl-3-thienyl)amino]-2-imidazoline.

抗高血压药。

噻甲压定。

Thiamenidine,Symcor Base TTS,HOE440.

INN,BANS,USAN.

随便看

 

离鸟网收录3541549条中英文词条,其功能与新华字典、现代汉语词典、牛津高阶英汉词典等各类中英文词典类似,基本涵盖了全部常用中英文字词句的读音、释义及用法,是语言学习和写作的有利工具。

 

Copyright © 2004-2024 vtrois.com All Rights Reserved
更新时间:2026/4/19 19:17:35