网站首页  词典首页


请输入您要查询的字词:

 

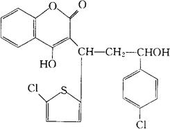
字词 噻氯香豆素
类别 中英文字词句释义及详细解析
释义 噻氯香豆素

C22H16Cl2O4S=447.33

CAS-22619-35-8

3-[3-(4-氯苯基)-1-(5-氯-2-噻吩基)-3-羟丙基]-4-羟-2H-1-苯并吡喃-2-酮。

3-[3-(4-Chlorophenyl)-1-(5-chloro-2-thienyl)-3-hydroxypropyl]-4-hydroxy-2H-1-benzopyran-2-one.

3-[5-氯-α-(对-氯-β-羟苯乙基)2-噻吩甲基]-4-羟香豆素。

3-[5-Chloro-α-(p-chloro-β-hydroxyphenethyl)-2-thenyl]-4-hydroxycoumarin.

抗凝药。

Tioclomarol,Apegmone,LM 550.

INN,DCF,USAN,MI.

随便看

 

离鸟网收录3541549条中英文词条,其功能与新华字典、现代汉语词典、牛津高阶英汉词典等各类中英文词典类似,基本涵盖了全部常用中英文字词句的读音、释义及用法,是语言学习和写作的有利工具。

 

Copyright © 2004-2024 vtrois.com All Rights Reserved
更新时间:2026/4/19 3:26:04