网站首页  词典首页


请输入您要查询的字词:

 

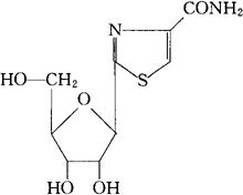
字词 噻唑呋林
类别 中英文字词句释义及详细解析
释义 噻唑呋林

C9H12N2O5S=260.26

CAS-60084-10-8

2-β-D-呋喃核糖基-4-噻唑甲酰胺。

2-β-D-Ribofuranosyl-4-thiazolecarboxamide.

抗肿瘤药。

Tiazofurin,Riboxamide,CI 909,ICN 4221,NSC 286193.

INN,USAN.

随便看

 

离鸟网收录3541549条中英文词条,其功能与新华字典、现代汉语词典、牛津高阶英汉词典等各类中英文词典类似,基本涵盖了全部常用中英文字词句的读音、释义及用法,是语言学习和写作的有利工具。

 

Copyright © 2004-2024 vtrois.com All Rights Reserved
更新时间:2026/4/19 7:21:19