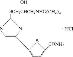
噻吩洛尔
C15H21N3O2S3=371.53 CAS-68377-92-4 (±)-5-[2-[[3-(叔-丁氨基)-2-羟丙基]硫代]-4-噻唑基]-2-噻吩甲酰胺。 (±)-5-[2-[[3-(tert-Butylamino)-2-hydroxypropyl]thio]-4-thiazolyl]-2-thiophenecarboxamide. 5-[2-[[3-(1,1-二甲基乙基)氨基]-2-羟丙基]硫代]-4-噻唑基]-2-吩噻甲酰胺。 5-[2-[[3-(1,1-Dimethylethyl)amino]-2-hydroxypropyl]thio]-4-thiazolyl]-2-thiophenecarboxamide. β-受体阻滞药。 阿罗洛尔。 Arotinolol,Tarotiolol. INN,USAN.  |