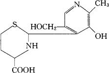
噻吡醇
C12H16N2O4S=284.33 CAS-14785-50-3 四氢-2-[3-羟-5-(羟甲基)-2-甲基-4-吡啶基]-2H-1,3-噻嗪-4-羧酸。 Tetrahydro-2-[3-hydroxy-5-(hydroxymethyl)-2-methyl-4-pyridyl]-2H-1,3-thiazine-4-carboxylic acid. 维生素类药(维生素B6同系物)。 维生素B6,高半胱氨酸。 Tiapirinol,Actoxal,Pyridoxal-homocysteine. INN,USAN.  |