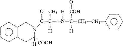
喹普利拉
C23H26N2O5=410.47 CAS-85441-60-7 [3S-[2[R*(R*)],3R*]]-2-[2[(1-羧-3-苯丙基)氨基]-1-氧代丙基]-1,2,3,4-四氢-3-异喹啉羧酸。 [3S-[2[R*(R*)],3R*]]-2-[2[(1-Carboxy-3- phenylpropyl)amino]-1-oxopropyl]-1,2,3,4-tetrahydro-3-isoquinolinecarboxylic acid. (3S)-2-[(S)-N-[(S)-1-羧-3-苯丙基]丙氨酰]-1,2,3,4-四氢-3-异喹啉羧酸。 (3S)-2-[(S)-N-[(S)-1-Carboxy-3-phenylpropyl]alanyl]-1,2,3,4-tetrahydro-3-isoquinolinecarboxylic acid. 抗高血压药(增压素转化酶抑制药)。 Quinaprilat,CI-928. INN,USAN.  |