网站首页  词典首页


请输入您要查询的字词:

 

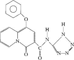
字词 喹托司特
类别 中英文字词句释义及详细解析
释义 喹托司特

C17H12N6O3=348.32

CAS-101193-40-2

4-氧代-1-苯氧-N-1H-四唑-5-基-4H-喹嗪-3-羧酰胺。

4-Oxo-1-phenoxy-N-1H-tetrazol-5-yl-4H-quinolizine-3-carboxamide.

抗过敏药。

Quinotolast.

INN,USAN.

随便看

 

离鸟网收录3541549条中英文词条,其功能与新华字典、现代汉语词典、牛津高阶英汉词典等各类中英文词典类似,基本涵盖了全部常用中英文字词句的读音、释义及用法,是语言学习和写作的有利工具。

 

Copyright © 2004-2024 vtrois.com All Rights Reserved
更新时间:2026/4/19 1:05:07