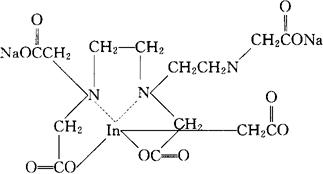
喷替酸铟[111In]二钠
C14H18111InN3Na2O10 CAS-60662-14-8 N,N-双[2-[双(羧甲基)氨基]乙基]甘油酸基(5-)]-铟(2-)-111In-二钠。 [N,N-bis[2-[bis(Carboxymethyl)amino]ethyl]glycinato(5-)]indate(2-)-111In-disodium. [N,N-双[2[双(羧基甲基)氨基]乙基]甘油酸基(5-)]铟(2-)111In-二钠。 Disodium[N,N-bis[2-[bis(carboxymethyl)amino]ethyl]glycinato-(5-)]indate(2-)-111In. 诊断用药。 Pentetate Indium Disodium In 111. USAN.  |