网站首页  词典首页


请输入您要查询的字词:

 

字词 喷替米星
类别 中英文字词句释义及详细解析
释义 喷替米星

C19H37N5O7=447.53

CAS-55870-64-9

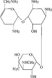
O-3-去氧-4-C-甲基-3-(甲氨基)-β-L-阿拉伯吡喃糖基-(1→1)-O-[2,6-二氨基-2,3,4,6-四去氧-α-D-甘油基-己-4-烯吡喃糖基-(1→1)]-4,6-二氨基-4,5,6-三去氧-D-肌醇。

O-3-Deoxy-4-C-methyl-3-(methylamino)-β-L-arabinopyranosyl-(1→1)-O-[2,6-diamino-2,3,4,6-tetradeoxy-α-D-glycerohex-4-enopyranosyl-(1→1)]-4,6-diamino-4,5,6-trideoxy-D-myoinositol.

抗感染药。

潘替米星。

Pentisomicin,Mutamicin 6,5-Episisomicin,Sch 22591,Antibiotic Sch 22591.

INN,USAN.

随便看

 

离鸟网收录3541549条中英文词条,其功能与新华字典、现代汉语词典、牛津高阶英汉词典等各类中英文词典类似,基本涵盖了全部常用中英文字词句的读音、释义及用法,是语言学习和写作的有利工具。

 

Copyright © 2004-2024 vtrois.com All Rights Reserved
更新时间:2026/4/18 6:42:56