网站首页  词典首页


请输入您要查询的字词:

 

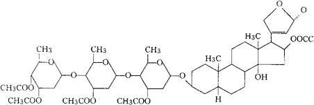
字词 喷吉妥辛
类别 中英文字词句释义及详细解析
释义 喷吉妥辛

C51H74O19=991.13

CAS-7242-04-8

芰皂素五醋酸酯。

Gitoxin pentaacetate.

芰皂配基-16-乙酸酯-3-四乙酰三毛地黄毒糖甙。

Gitoxigenin-16-acetate-3-tetracetyltridigitoxoside.

强心药。

五酰吉妥辛。

Pengitoxine,Acegit,Carmacid-Cor,Cordoval,Pentaacetylgitoxin,Pentagit.

INN,USAN.

随便看

 

离鸟网收录3541549条中英文词条,其功能与新华字典、现代汉语词典、牛津高阶英汉词典等各类中英文词典类似,基本涵盖了全部常用中英文字词句的读音、释义及用法,是语言学习和写作的有利工具。

 

Copyright © 2004-2024 vtrois.com All Rights Reserved
更新时间:2026/4/18 1:03:37