喷司他丁
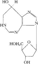
C11H16N4O4=268.27 CAS-63677-95-2 (R)-3-(2-去氧-β-D-赤-呋喃戊糖基)-3,6,7,8-四氢咪唑并[4,5-d][1,3]二氮杂 -8-醇。 (R)-3-(2-Deoxy-β-D-erythro-pentofuranosyl)3,6,7,8-tetrahydroimidazo[4,5-d][1,3]diazepin-8-ol. 2′-去氧-助间型霉素。 2′-Deoxy-coformycin. 强的腺甙脱氨酶抑制药,抗肿瘤药。 Pentostatin,Covidarabine,ADAI,CI 825,d-Cof,PD-ADI,NSC-218321,Nipent. INN,USAN.  |