网站首页  词典首页


请输入您要查询的字词:

 

字词 喷他非康A
类别 中英文字词句释义及详细解析
释义 喷他非康A

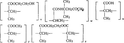
(C6H10O3)v(C9H15NO2)w(C4H6O2)x(C5H8O2)y(C10H14O4)z

CAS-82571-55-9

2-羟乙基-2-甲基-2-丙烯酸与N-(1,1-二甲基-3-氧代丁基)-2-丙烯酰胺,2-甲基2-丙烯酸,2-甲基-2-丙烯酸甲酯和1,2-乙烷二基双(2-甲基-2-丙烯酸酯的聚合物。

2-Hydroxyethyl 2-methyl-2-propenoic acid,polymer with N-(1,1-dimethyl-3-oxobutyl)-2-propenamide,2-methyl-2-propenoicacid,methyl2-methyl-2-propenoate and 1,2-ethanediyl bis(2-methyl-2-propenoate.

异丁烯酸2-羟乙酯与N-(1,1-二甲基-3-氧代丁基)丙烯酰胺,异丁烯酸,异丁烯酸甲酯和乙烯二异丁烯酸酯的共聚物。

2-Hydroxyethyl methacrylate polymer with N-(1,1-dimethyl-3-oxobutyl)acrylamide,methacrylic acid,methyl methacrylate and ethylene dimethacrylate.

隐形眼镜材料(亲水性)。

Pentafilcon A,E-52.

USAN.

随便看

 

离鸟网收录3541549条中英文词条,其功能与新华字典、现代汉语词典、牛津高阶英汉词典等各类中英文词典类似,基本涵盖了全部常用中英文字词句的读音、释义及用法,是语言学习和写作的有利工具。

 

Copyright © 2004-2024 vtrois.com All Rights Reserved
更新时间:2026/4/18 5:32:00