哒嗪硫磷
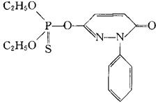
又称达嗪松、Ofunack。 低毒有机磷杀虫杀螨剂。化学名称:O,O-二乙基-O-(2,3-2-氢-3-氧代-2-苯基-6〓哒嗪基)硫逐磷酸酯。 化学结构式如下。 纯品为白色针状结晶,工业品淡黄色固体,熔点54~56℃,48℃时蒸气压25.33Pa,90℃时110.65Pa.密度1.325,难溶于水、溶于各种有机溶剂,对酸及热稳定,对强碱不稳定。 有触杀胃毒作用,无内吸作用。防治稻飞虱、稻叶蝉、三化螟及二化螟(卵孵盛期前用药),还可以防治棉蚜、棉叶螨。急性口服LD50大鼠(♂)为769.4mg/kg、(♀)为850mg/kg,小鼠(♂)为458.7mg/kg、(♀)为554.6mg/kg,兔为4800mg/kg,狗>12000mg/kg。经皮大鼠(♂)LD50为2300mg/kg、(♀)2100mg/kg,鱼毒(48h)鲤LC50为10mg/L。 
|