哌立酮
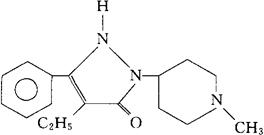
C17H23N3O=285.39 CAS-2531-04-6 4-乙基-1-(1-甲基-4-哌啶基)-3-苯基-3-吡唑啉-5-酮。 4-Ethyl-1-(1-methyl-4-piperidyl)-3-phenyl-3-pyrazolin-5-one. 4-乙基-1,2-二氢-2-(1-甲基-4-哌啶基)-5-苯基-3H吡唑-3-酮。 4-Ethyl-1,2-dihydro-2-(1-methyl-4-piperidinyl)-5-phenyl-3H-pyrazol-3-one. 镇痛药,解热药,解痉药。 哌普酮。 Piperylone,PR 66,Palerol. INN,USAN.  |