网站首页  词典首页


请输入您要查询的字词:

 

字词 哌拉替唑
类别 中英文字词句释义及详细解析
释义 哌拉替唑

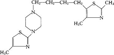
C17H26N4S2=350.54

CAS-29952-13-4

1-[4-(2,4-二甲基-5-噻唑基)丁基]-4-(4-甲基-2-噻唑基)哌嗪。

1-[4-(2,4-Dimethyl-5-thiazolyl)butyl]-4-(4-methyl2-thiazolyl)piperazine.

安定药,抗高血压药。

哌那替唑。

Peratizole.

INN,BAN,USAN.

随便看

 

离鸟网收录3541549条中英文词条,其功能与新华字典、现代汉语词典、牛津高阶英汉词典等各类中英文词典类似,基本涵盖了全部常用中英文字词句的读音、释义及用法,是语言学习和写作的有利工具。

 

Copyright © 2004-2024 vtrois.com All Rights Reserved
更新时间:2026/4/17 16:12:39