网站首页  词典首页


请输入您要查询的字词:

 

字词 哌库溴铵
类别 中英文字词句释义及详细解析
释义 哌库溴铵

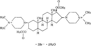
C35H62Br2N4O4·2H2O=798.74

CAS-68399-57-5

CAS-52212-02-9(anhydrous)

4,4′-[(2β,3α,5α,16β,17β)-3,17-双(乙酰氧)雄甾烷-2,16-二基]双[1,1-二甲基哌嗪鎓]二溴化物,二水化物。

4,4′-[(2β,3α,5α,16β,17β)-3,17-bis(Acetyloxy)androstane-2,16-diyl]bis[1,1-dimethylpiperazinium]dibromide,dihydrate.

4,4′(3α,17β-二羟-5α-雄甾烷-2β,-16β-亚基)双[1,1-二甲基哌嗪鎓]二溴化物,二醋酸(酯),二水化物。

4,4′-[(3α,17β-Dihydroxy-5α-androstan-2β,16β-ylene)bis[1,1-dimethylpiperazinium]dibromide,diacetate(ester),dihydrate.

神经肌内阻断药,肌肉松弛药。

哌可松。

Pipecuronium Bronide,RGH 1106.

INN,BAN,USAN.

随便看

 

离鸟网收录3541549条中英文词条,其功能与新华字典、现代汉语词典、牛津高阶英汉词典等各类中英文词典类似,基本涵盖了全部常用中英文字词句的读音、释义及用法,是语言学习和写作的有利工具。

 

Copyright © 2004-2024 vtrois.com All Rights Reserved
更新时间:2026/4/17 16:12:19