网站首页  词典首页


请输入您要查询的字词:

 

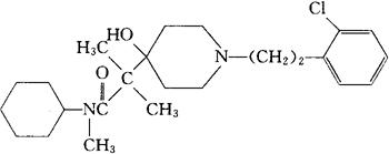
字词 哌地马朵
类别 中英文字词句释义及详细解析
释义 哌地马朵

C24H37ClN2O2=421.02

CAS-68797-29-5

1-(邻-氯苯乙基)-N-环己基-4-羟-N,α,α-三甲基-4-哌啶乙酰胺。

1-(o-Chlorophenethyl)-N-cyclohexyl-4-hydroxy-N,α,α-trimethyl-4-piperidineacetamide.

1-[2-(2-氯苯基)乙基]-N-环己基-4-羟-N,α,α,α-三甲基-4-哌啶乙酰胺。

1-[2-(2-Chlorophenyl)ethyl]-N-cyclohexyl-4-hydroxy-N,α,α-trimethyl-4-piperidineacetamide.

抗抑郁药,镇痛药。

比那迪麦醇。

Pipradimadol,FU 29-245.

INN,USAN.

随便看

 

离鸟网收录3541549条中英文词条,其功能与新华字典、现代汉语词典、牛津高阶英汉词典等各类中英文词典类似,基本涵盖了全部常用中英文字词句的读音、释义及用法,是语言学习和写作的有利工具。

 

Copyright © 2004-2024 vtrois.com All Rights Reserved
更新时间:2026/4/20 19:13:00