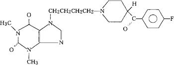
哌丁茶碱
C23H28FN5O3=441.51 CAS-110390-84-6 7-[4-[4-(对-氟苯甲酰)哌啶基]丁基]茶碱。 7-[4-[4-(p-Fluorobenzoyl)piperidino]butyl]theophylline. 7-[4-[4-(4-氟苯甲酰-1-哌啶基)丁基]-3,7-二氢-1,3-二甲基]-1H-嘌呤-2,6-二酮。 7-[4-[4-(4-Fluorobenzoyl-1-piperidiny)butyl]-3,7-dihydro-1,3-dimethyl]-1H-purine-2,6-dione. 支气管扩张药。 Ferbufylline,Sqd 1-85. INN,USAN.  |