网站首页  词典首页


请输入您要查询的字词:

 

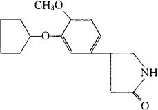
字词 咯利普兰
类别 中英文字词句释义及详细解析
释义 咯利普兰

C16H21NO3=275.35

CAS-61413-54-5

4-(3-环戊氧基-4-甲氧苯基)-2-吡咯烷酮。

4-(3-Cyclopentyloxy-4-methoxyphenyl)-2-pyrrolidi none.

安定药。

咯利兰。

Rolipram.

INN,USAN.

随便看

 

离鸟网收录3541549条中英文词条,其功能与新华字典、现代汉语词典、牛津高阶英汉词典等各类中英文词典类似,基本涵盖了全部常用中英文字词句的读音、释义及用法,是语言学习和写作的有利工具。

 

Copyright © 2004-2024 vtrois.com All Rights Reserved
更新时间:2026/4/17 17:16:54