咪达马林
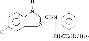
C18H21ClN4=328.84 CAS-496-38-8 CAS-24360-03-0(as hydrochloride) N-(5-氯-2-苯并咪唑基甲基)-N-苯-N′,N′-二甲基亚乙基二胺。 N-(5-Chloro-2-benzimidazolylmethyl)-N-phenyl-N′,-N′-dimethylethylenediamine. 5-氯-2-[[N-[2-(二甲氨基)乙基]苯胺基]甲基]苯并咪唑。 5-Chloro-2-[[N-[2-(dimethylamino)ethyl]anilino]methyl]benzimidazole. 局部麻醉药。 Midamaline. INN,USAN.  |