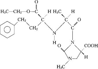
咪达普利
C20H27N3O6=405.43 CAS-89371-37-9 CAS-89396-94-1(hydrochloride) (S)-3-(N-[(S)-1-乙氧羰基-3-苯丙基]-L-丙氨酰)-1-甲基-2-氧代咪唑啉-4-羧酸。 (S)-3-(N-[(S)-1-Ethoxycarbony1-3-phenylpropyl]-L-alanyl)-1-methyl-2-oxoimidazoline-4-carboxylic acid. 3-[2-[[1-(乙氧羰基)-3-苯基]丙基]氨基]-1-氧丙基]-1-甲基-2-氧咪唑啉羧酸。 3-[2-[[1-(Ethoxycarbonyl)3-phenyl]propyl]amino]-1-oxopropyl]-1-methyl-2-oxo-4-imidazolidinecarboxylic acid. 抗高血压药,血管紧张素转化酶抑制药。 Imidapril. INN,BAN,USAN.  |