网站首页  词典首页


请输入您要查询的字词:

 

字词 咪康唑[中]
类别 中英文字词句释义及详细解析
释义 咪康唑[中]

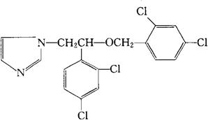
C18H14Cl4N2O=416.14

CAS-22916-47-8

1-[2,4-二氯-β-[(2,4-二氯苯甲基)氧]苯乙基]咪唑。

1-[2,4-Dichloro-β-[(2,4-dichlorobenzyl)oxy]phenethyl]imidazole.

抗真菌药。

Miconazole,Monistat Ⅳ.

咪康唑软膏。

INN,BAN,BP,DCF,DCIT,NFN,USAN,USP,MI.

随便看

 

离鸟网收录3541549条中英文词条,其功能与新华字典、现代汉语词典、牛津高阶英汉词典等各类中英文词典类似,基本涵盖了全部常用中英文字词句的读音、释义及用法,是语言学习和写作的有利工具。

 

Copyright © 2004-2024 vtrois.com All Rights Reserved
更新时间:2026/4/17 21:34:18