网站首页  词典首页


请输入您要查询的字词:

 

字词 咖啡君
类别 中英文字词句释义及详细解析
释义 咖啡君

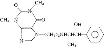
C18H23N5O3=357.41

CAS-58166-83-9

7-[2-(2-羟-1-甲基苯乙胺基)乙基]茶碱。

7-[2-(2-Hydroxy-1-methylphenethylamino)ethyl]theophylline.

中枢兴奋药。

Cafedrine.

INN,BAN,USAN.

随便看

 

离鸟网收录3541549条中英文词条,其功能与新华字典、现代汉语词典、牛津高阶英汉词典等各类中英文词典类似,基本涵盖了全部常用中英文字词句的读音、释义及用法,是语言学习和写作的有利工具。

 

Copyright © 2004-2024 vtrois.com All Rights Reserved
更新时间:2026/4/17 22:44:14