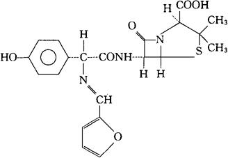
呋莫西林
C21H21N3O6S=443.47 CAS-78186-33-1 [2S-[2α,5α,6β(S*)]]-6-[[[(2-呋喃基亚甲基)氨基](4-羟苯基)乙酰]氨基]-3,3-二甲基-7-氧代-4-噻-1-氮杂双环[3.2.0]庚烷-2-羧酸。 [2S-[2α,5α,6β(S*)]]-6-[[[(2-Furanylmethylene)amino](4-hydroxyphenyl)acetyl]amino]-3,3-dimethyl-7-oxo-4-thia-1-azabicyclo[3.2.0]heptane2-carboxylic acid. (2S,5R,6R)-6-[(R)-2-(亚基氨基)-2-(对-羟苯基)-乙酰胺基]-3,3-二甲基-7-氧代-4-噻-1-氮杂双环[3.2.0]庚烷-2-羧酸。 (2S,5R,6R)-6-[(R)-2-(Furfurylideneamino)-2-(phydroxyphenyl)-acetamido]-3,3-dimethyl-7-oxo-4-thia-1-azabicyclo[3.2.0]heptane-2-carboxylic acid. 抗生素类药。 亚糖基阿莫西林。 Fumoxicillin,FU-02,Furfurylideneamoxicillin, Furoxicillin. INN,USAN.  |