网站首页  词典首页


请输入您要查询的字词:

 

字词 呋苄西林钾
类别 中英文字词句释义及详细解析
释义 呋苄西林钾

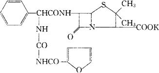
C22H21KN4O7S=524.50

CAS-25673-17-06-[[[[[(2-呋喃基羰基)氨基]羰基]氨基]-苯基乙酰]氨基]-3,3-二甲基-7-氧代-4-硫杂-1-氮杂双环[3.2.0]庚烷-2-羧酸钾。

6-[[[[[(2-Furanylcarbonyl)amino]carbonyl]amino]phenylacetyl]amino]-3,3-dimethyl-7-oxo-4-thia-1-azabicyclo[3.2.0]heptane-2-carboxylic acid potassium.

6-[D-α-[3-(2-呋喃甲酰)脲基]苯乙酰胺基]青霉烷酸钾。

6-[D-α-[3-(2-Furoyl)ureido]phenylaeetamido]penicillanate potassium.

抗生素类药。

用于绿脓杆菌、大肠杆菌和变形杆菌的感染。

呋苄青霉素,呋喃酰脲苄青霉素,呋喃酰脲苄青霉素钾,呋氨西林,呋脲苄青霉素钾。

Furbenicillin Potassium,BL-P 1597.

注射用呋脲苄青霉素钾(注射用呋苄青霉素钾)。

随便看

 

离鸟网收录3541549条中英文词条,其功能与新华字典、现代汉语词典、牛津高阶英汉词典等各类中英文词典类似,基本涵盖了全部常用中英文字词句的读音、释义及用法,是语言学习和写作的有利工具。

 

Copyright © 2004-2024 vtrois.com All Rights Reserved
更新时间:2026/4/17 17:03:59