网站首页  词典首页


请输入您要查询的字词:

 

字词 呋苄西林钠[中]
类别 中英文字词句释义及详细解析
释义 呋苄西林钠[中]

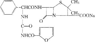
C22H21N4NaO7S=508.39

6-D-[α-[3-呋喃甲酰脲基]苯乙酰胺基]青霉烷酸钠。

6-D-[α-[3-Furoylureido]phenylacetamido]penicillinate sodium.

6-[α-(3-呋喃甲酰脲基)苯乙酰胺基]-3,3-二甲基-7-氧代-4-硫杂-1-氮杂双环[3.2.0]庚烷-2-羧酸钠盐。

6-[α-(3-Furoylureido)phenylacetamido]-3,3-dimethyl-7-oxo-4-thia-1-azabicyclo[3.2.0]heptane2-carboxylic acid,sodium salt.

抗生素类药。用于绿脓杆菌、大肠杆菌和变形杆菌的感染。

呋脲苄青霉素钠。

Furbenicillin Sodium.

注射用呋脲苄青霉素钠。

随便看

 

离鸟网收录3541549条中英文词条,其功能与新华字典、现代汉语词典、牛津高阶英汉词典等各类中英文词典类似,基本涵盖了全部常用中英文字词句的读音、释义及用法,是语言学习和写作的有利工具。

 

Copyright © 2004-2024 vtrois.com All Rights Reserved
更新时间:2026/4/18 3:34:30