网站首页  词典首页


请输入您要查询的字词:

 

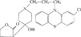
字词 呋罗马嗪
类别 中英文字词句释义及详细解析
释义 呋罗马嗪

C24H27ClN2O3S=459.00

CAS-28532-90-3

3-[1[3-(2-氯酚噻嗪-10-基)丙基]-4羟4-哌啶基]二氢-2(3H)-呋喃基酮。

3-[1-[3-(2-Chlorophenothiazin-10-yl)propyl]-4-hydroxy-4-piperidyl]dihydro-2(3H)-furanone.

镇静药,神经病药(安定药)。

Furomazine.

INN,USAN.

随便看

 

离鸟网收录3541549条中英文词条,其功能与新华字典、现代汉语词典、牛津高阶英汉词典等各类中英文词典类似,基本涵盖了全部常用中英文字词句的读音、释义及用法,是语言学习和写作的有利工具。

 

Copyright © 2004-2024 vtrois.com All Rights Reserved
更新时间:2026/4/17 17:05:51