网站首页  词典首页


请输入您要查询的字词:

 

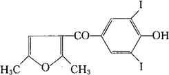
字词 呋碘达隆
类别 中英文字词句释义及详细解析
释义 呋碘达隆

C13H10I2O3=468.03

CAS-4662-17-3

2,5-二甲基-3-呋喃基-4-羟-3,5-二碘苯基酮。

2,5-Dimethyl-3-furyl-4-hydroxy-3,5-diiodophenyl ketone.

(2,5-二甲基-3-呋喃基)(4-羟-3,5-二碘苯基)甲基酮。

(2,5-Dimethyl-3-furfanyl)(4-hydroxy-3,5-diiodophenyl)methanone.

冠脉扩张药,血管扩张药。

Furidarone,DB 136.

INN,USAN.

随便看

 

离鸟网收录3541549条中英文词条,其功能与新华字典、现代汉语词典、牛津高阶英汉词典等各类中英文词典类似,基本涵盖了全部常用中英文字词句的读音、释义及用法,是语言学习和写作的有利工具。

 

Copyright © 2004-2024 vtrois.com All Rights Reserved
更新时间:2026/4/17 20:47:09