网站首页  词典首页


请输入您要查询的字词:

 

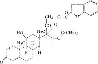
字词 呋曲安奈德
类别 中英文字词句释义及详细解析
释义 呋曲安奈德

C33H35FO8=578.63

CAS-4989-94-0

9-氟-11β,16α,17,21-四羟孕甾-1,4-二烯-3,10-二酮与丙酮复合成环16,17-乙缩醛21-(2-苯并呋喃羧酸酯)。

9-Fluoro-11β,16α,17,21-tetrahydroxypregna-1,4-diene-3,10-dione cyclic 16,17-acetal with acetone,21-(2-benzofurancarboxylate).

消炎药。

Triamcinolone Furetonide,He 192.

INN,USAN.

随便看

 

离鸟网收录3541549条中英文词条,其功能与新华字典、现代汉语词典、牛津高阶英汉词典等各类中英文词典类似,基本涵盖了全部常用中英文字词句的读音、释义及用法,是语言学习和写作的有利工具。

 

Copyright © 2004-2024 vtrois.com All Rights Reserved
更新时间:2026/4/17 17:03:07