网站首页  词典首页


请输入您要查询的字词:

 

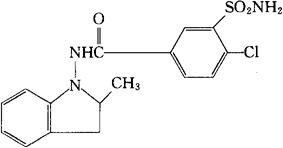
字词 吲达帕胺
类别 中英文字词句释义及详细解析
释义 吲达帕胺

C16H16ClN3O3S=365.83

CAS-26807-65-8

4-氯-N-(2-甲基-1-二氢吲哚基)-3-氨磺酰苯甲酰胺。

4-Chloro-N-(2-methyl-1-indolinyl)-3-sulfamoylbenzamide.

抗高血压药,利尿药。

Natrilix,Lozol,Indapamide,Fludex.

INN,BAN,DCF,DCIT,JAN NFN,USAN,MI.

随便看

 

离鸟网收录3541549条中英文词条,其功能与新华字典、现代汉语词典、牛津高阶英汉词典等各类中英文词典类似,基本涵盖了全部常用中英文字词句的读音、释义及用法,是语言学习和写作的有利工具。

 

Copyright © 2004-2024 vtrois.com All Rights Reserved
更新时间:2026/4/17 21:08:51