网站首页  词典首页


请输入您要查询的字词:

 

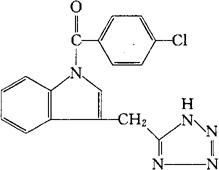
字词 吲四唑
类别 中英文字词句释义及详细解析
释义 吲四唑

C17H12ClN5O=337.77

CAS-15992-13-9

1-(对氯苯甲酰)-3-(1H-四唑-5-基甲基)吲哚。

1-(p-Chlorobenzoyl)-3-(1H-tetrazol-5-ylmethyl)indole.

消炎药。

吲哚四唑。

Intrazole.

INN,DCIT,USAN.

随便看

 

离鸟网收录3541549条中英文词条,其功能与新华字典、现代汉语词典、牛津高阶英汉词典等各类中英文词典类似,基本涵盖了全部常用中英文字词句的读音、释义及用法,是语言学习和写作的有利工具。

 

Copyright © 2004-2024 vtrois.com All Rights Reserved
更新时间:2026/4/18 7:47:00