网站首页  词典首页


请输入您要查询的字词:

 

字词 含绝对值不等式的解法
类别 中英文字词句释义及详细解析
释义 含绝对值不等式的解法

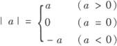
1.实数a的绝对值的意义

2.a>0时或x<—a.

3.c>0时或ax+b<—c.

4.b或—b≤x≤—a.

随便看

 

离鸟网收录3541549条中英文词条,其功能与新华字典、现代汉语词典、牛津高阶英汉词典等各类中英文词典类似,基本涵盖了全部常用中英文字词句的读音、释义及用法,是语言学习和写作的有利工具。

 

Copyright © 2004-2024 vtrois.com All Rights Reserved
更新时间:2026/4/19 15:23:23