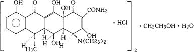
含乙醇盐酸多西环素
(C22H24N2O8·HCl)2·C2H6O·H2O=1025.89 CAS-24390-14-5 CAS-564-25-0(doxycycline) [4S-(4α,4aα,5α,5aa,6α,12aα)]-4-(二甲氨基)-1,4,4a,5,5a,6,11,12a-八氢-3,5,10,12,12a-五羟-6-甲基-1,11-二氧代-2-并四苯羧酰胺与乙醇(2∶1)的一水化合物。 [4S-(4α,4aa,5α,5aα,6α,12aa)]-4-(Dimethylamino)-1,4,4a,5,5a,6,11,-12a-octahydro-3,5,10,12,12a-pentahydroxy-6-methyl-1,11-dioxo-2-naphthacenecarboxamide,monohydrochloride,compd.with ethanol(2∶1)monohydrate. 4-二甲氨基-1,4,4a,5,5a,6,11,12a-八氢-3,5,10,12,12a-五羟-6-甲基-1,11-二氧代-2-并四苯羧酰胺,单盐酸盐与乙醇的一水化物。 4-(Dimethylamino)-1,4,4a,5,5a,6,11,12a-octahydro-3,5,10,12,12a-pentahydroxy-6-methyl-1,11-dioxo-2-naphthacenecarboxa midemonohydrochloride, compound with ethyl alcohol(2∶1)monohydrate. 抗生素类药。 含乙醇盐酸脱氧土霉素。 Doxycycline Hyclate,Doryx,Vivox. USAN,USP.  |