网站首页  词典首页


请输入您要查询的字词:

 

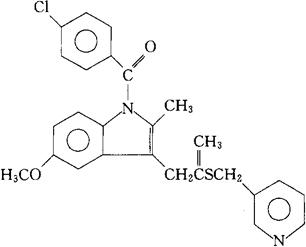
字词 吡美辛
类别 中英文字词句释义及详细解析
释义 吡美辛

C25H21ClN2O3S=464.97

CAS-79992-71-5

1-(对-氯苯甲酰)-5-甲氧-2-甲基-3-吲哚乙酸3-吡啶甲基硫酯。

1-(p-Chlorobenzoyl)-5-methoxy-2-methyl-3-indoleacetic acid 3-pyridylmethylthioester.

S-(3-吡啶甲基)1-(4-氯苯甲酰)-5-甲氧-2-甲基-1H吲哚-3-乙烷硫代酸。

S-(3-Pyridinylmethyl)1-(4-chlorobenzoyl)-5-methoxy-2-methyl-1H-indole-3-ethanethioic acid.

消炎镇痛药,抗凝血药。

吡美达星。

Pimetacin.

INN,USAN.

随便看

 

离鸟网收录3541549条中英文词条,其功能与新华字典、现代汉语词典、牛津高阶英汉词典等各类中英文词典类似,基本涵盖了全部常用中英文字词句的读音、释义及用法,是语言学习和写作的有利工具。

 

Copyright © 2004-2024 vtrois.com All Rights Reserved
更新时间:2026/4/18 2:06:52