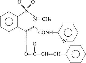
吡罗昔康肉桂酸酯
C24H19N3O5S=461.49 CAS-87234-24-0 3-苯基-2-丙烯酸2-甲基-3-[(2-吡啶基氨基)羰基]-2H-1,2-苯并噻嗪-4-酯,S,S-二氧化物。 3-Phenyl-2-propenoicacid,2-methyl-3-[(2-pyridinylamino)carbonyl]-2H-1,2-benzothiazin-4-yl.S,Sdioxide. 4-羟-2-甲基-N-2-吡啶基-2H-1,2-苯并噻嗪-3-甲酰胺-1,1-二氧化物,肉桂酸酯。 4-Hydroxy-2-methyl-N-2-pyridyl-2H-1,2-benzothiazine-3-carboxamide-1,1-dioxide,cinnamate(ester). 消炎药。 Piroxicam Cinnamate,SPA-S-510. USAN.  |