网站首页  词典首页


请输入您要查询的字词:

 

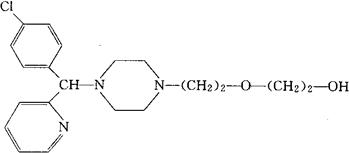
字词 吡氯斯汀
类别 中英文字词句释义及详细解析
释义 吡氯斯汀

C20H26ClN3O2=375.90

CAS-55837-13-3

2-[2-[4-(对-氯-α-2-吡啶苄基)-1-哌嗪基]乙氧]乙醇。

2-[2-[4-(p-Chloro-α-2-pyridylbenzyl)-1-piperazinyl]ethoxy]ethanol.

2-[2-[4-(4-氯苯基)-2-吡啶甲基]-2-哌嗪基)]-乙氧乙醇。

2-[2-[4-(4-Chlorophenyl)-2-pyridinylmethyl]-2-piperazinyl)]ethoxy ethanol.

抗组胺药。

Piclopastine.

INN,DCF,USAN.

随便看

 

离鸟网收录3541549条中英文词条,其功能与新华字典、现代汉语词典、牛津高阶英汉词典等各类中英文词典类似,基本涵盖了全部常用中英文字词句的读音、释义及用法,是语言学习和写作的有利工具。

 

Copyright © 2004-2024 vtrois.com All Rights Reserved
更新时间:2026/4/18 7:46:17