网站首页  词典首页


请输入您要查询的字词:

 

字词 吡柔比星
类别 中英文字词句释义及详细解析
释义 吡柔比星

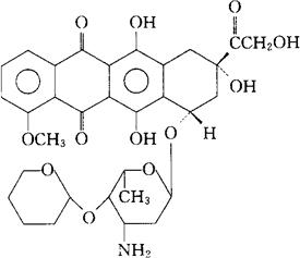
C32H37NO12=627.65

CAS-72496-41-4

(8S,10S)-10-[[3-氨基-2,3,6-三去氧-4-O-(2R-四氢-2H-吡喃-2-基)-α-L-来苏-吡喃己糖基]氧]-8-乙醇酰-7,8,9,10-四氢-6,8,11-三羟-1-甲氧-5,12-并四苯二酮。

(8S,10S)-10-[[3-Amino-2,3,6-trideoxy-4-O-(2Rtetrahydro-2H-pyran-2-yl)-α-L-lyxo-hexopyranosyl]oxy]-8-glycoloyl-7,8,9,10-tetrahydro-6,8,11-trihydroxy-1-methoxy-5,12-naphthacenedione.

抗生素类药。

Pirarubicin.

INN,USAN,MI.

随便看

 

离鸟网收录3541549条中英文词条,其功能与新华字典、现代汉语词典、牛津高阶英汉词典等各类中英文词典类似,基本涵盖了全部常用中英文字词句的读音、释义及用法,是语言学习和写作的有利工具。

 

Copyright © 2004-2024 vtrois.com All Rights Reserved
更新时间:2026/4/20 8:34:17