网站首页  词典首页


请输入您要查询的字词:

 

字词 吡托非农
类别 中英文字词句释义及详细解析
释义 吡托非农

C22H25NO4=367.44

CAS-54063-52-4

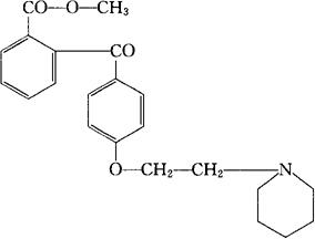
邻-[对-(2-哌啶乙氧)苯甲酰]苯甲酸甲酯。

Methyl o-[p-(2-piperidinoethoxy)benzoyl]benzoate.

2-[4-[2-(1-哌啶基)乙氧基]苄基]苯甲酸甲酯。

Methyl 2-[4-[2-(1-piperidinyl)ethoxy]benzyl]benzoate.

抗胆碱药,解痉药。

Pitofenone,Hoechst 12771.

INN,DCF,USAN.

随便看

 

离鸟网收录3541549条中英文词条,其功能与新华字典、现代汉语词典、牛津高阶英汉词典等各类中英文词典类似,基本涵盖了全部常用中英文字词句的读音、释义及用法,是语言学习和写作的有利工具。

 

Copyright © 2004-2024 vtrois.com All Rights Reserved
更新时间:2026/4/20 0:38:34