吡多昔酯
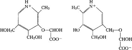
C10H13NO6·C10H13NO6=486.43 CAS-24340-35-0 [[5-羟-4-(羟甲基)-6-甲基-3-吡啶基]甲氧]乙醇酸与[[4,5-双(羟甲基)-2-甲基-3-吡啶基]氧]乙醇酸(1∶1)化合物。 [[5-Hydroxy-4-(hydroxymethyl)-6-methyl-3-pyridyl]methoxy]glycolic acid compound with[[4,5-bis(hydroxymethyl)-2-methyl-3-pyridyl]oxy]glycolic acid(1∶1). 冠脉扩张药。 吡醇羟乙醋(中)。 Piridoxilate. INN,BAN,DCF,USAN.  |