网站首页  词典首页


请输入您要查询的字词:

 

字词 吡嘧磷
类别 中英文字词句释义及详细解析
释义 吡嘧磷

又称定菌磷。

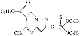
有机磷杀菌剂。化学名称:O-〔6-乙氧羰基-5-甲基吡唑基(1,5a)嘧啶-2基〕-O,O二乙基硫代磷酸酯。化学结构式如下。

原药无色结晶,不溶于水,易溶于苯、甲苯、四氯化碳、三氯乙烷等,性质稳定,但遇酸碱则易分解。

德国赫司特公司开发,内吸性杀菌剂,用于防治果树、蔬菜白粉病,并兼有杀虫杀螨作用。以稻瘟菌试验表明,药剂经真菌代谢后转化为6-乙氧羰基-2-羟基-5-甲基吡唑并(1,5a)嘧啶(pρ),是杀菌的主要化学物质。

大白鼠口服急性LD50为 286~632mg/kg、经皮LD50为>2000mg/kg。

随便看

 

离鸟网收录3541549条中英文词条,其功能与新华字典、现代汉语词典、牛津高阶英汉词典等各类中英文词典类似,基本涵盖了全部常用中英文字词句的读音、释义及用法,是语言学习和写作的有利工具。

 

Copyright © 2004-2024 vtrois.com All Rights Reserved
更新时间:2026/4/18 5:37:12