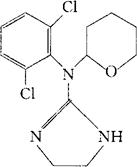
吡可乐定
C14H17Cl2N3O=314.21 CAS-72467-44-8 (±)-2-[2,6-二氯-N-(四氢-2H-吡喃-2-基)苯胺基]-2-咪唑啉。 (±)-2-[2,6-Dichloro-N-(tetrahydro-2H-pyran-2-yl)anilino]-2-imidazoline. N-(2,6-二氯苯基)-4,5-二氢-N-(四氢-2H-吡喃-2-基)-1H-咪唑-2-胺。 N-(2,6-Dichlorophenyl)-4,5-dihydro-N-(tetrahydro-2H-pyran-2-yl)-1H-imidazol-2-amine. 抗高血压药。 Piclonidine. INN,USAN.  |