网站首页  词典首页


请输入您要查询的字词:

 

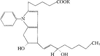
字词 吡前列素钾
类别 中英文字词句释义及详细解析
释义 吡前列素钾

C26H34KNO4=463.66

CAS-88851-62-1

[4R-[4α(1E,3S*),5β]]-1,4,5,6-四氢-5-羟-4-(3-羟-1-辛烯基)-1-苯基环戊二烯并[b]吡咯-2-戊酸,单钾盐。

[4R-[4α(1E,3S*),5β]]-1,4,5,6-Tetrahydro-5-hydroxy-4-(3-hydroxy-1-octenyl)-1-phenylcyclopenta[b]pyrrole-2-pentanoic acid,monopotassium salt.

(4R,5R)-1,4,5,6-四氢-5-羟-4-[(E)-(3S)-3-羟-1-辛烯基]-1-苯基环戊二烯并[b]吡咯-2-戊酸钾。

Potassium(4R,5R)-1,4,5,6-tetrahydro-5-hydroxy4-[(E)-(3S)-3-hydroxy-1-octenyl]-1-phenylcyclopenta[b]pyrrole-2-valerate.

前列腺素类药,平喘药。

Piriprost Potassium,U-60,257B.

USAN.

随便看

 

离鸟网收录3541549条中英文词条,其功能与新华字典、现代汉语词典、牛津高阶英汉词典等各类中英文词典类似,基本涵盖了全部常用中英文字词句的读音、释义及用法,是语言学习和写作的有利工具。

 

Copyright © 2004-2024 vtrois.com All Rights Reserved
更新时间:2026/4/18 6:22:30