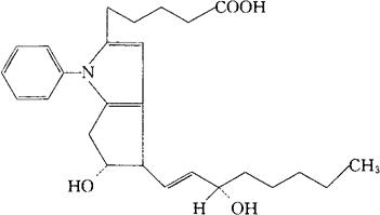
吡前列素
C26H35NO4=425.57 CAS-79672-88-1 [4R-[4α(1E,3S*),5β]]-1,4,5,6-四氢-5-羟-4-(3-羟-1-辛烯基)-1-苯基-环戊二烯并[b]吡咯-2-戊烷酸。 [4R-[4α(1E,3S*),5β]]-1,4,5,6-Tetrahydro-5-hydroxy-4-(3-hydroxy-1-octenyl)-1-phenyl-cyclopenta[b]pyrrole-2-pentanoic acid. (4R,5R)-1,4,5,6-四氢-5-羟-4-[(E)-(3S)-3-羟-1-辛烯基]-1-苯基环戊二烯[b]-吡咯-2-戊酸。 (4R,5R)-1,4,5,6-Tetrahydro-5-hydroxy-4-[(E)-(3S)-3-hydroxy-1-octenyl]-1-phenylcyclopenta[b]-pyrrole-2-valeric acid. 前列腺素类药,平喘药。 Piriprost,U-60,257,Piroprost. INN,USAN.  |