网站首页  词典首页


请输入您要查询的字词:

 

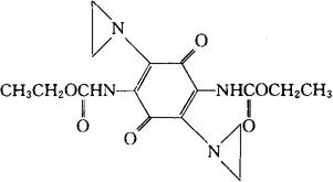
字词 吖丙醌双酯
类别 中英文字词句释义及详细解析
释义 吖丙醌双酯

C16H20N4O6=364.36

CAS-57998-68-2

2,5-二(1-吖丙啶基)-3,6-二氧代-1,4-环己二烯-1,4-二氨基甲酸二乙酯。

Diethyl 2,5-bis(1-aziridinyl)-3,6-dioxo-1,4-cyclohexadiene-1,4-dicarbamate.

抗肿瘤药。

地吖醌。

INN,USAN.

随便看

 

离鸟网收录3541549条中英文词条,其功能与新华字典、现代汉语词典、牛津高阶英汉词典等各类中英文词典类似,基本涵盖了全部常用中英文字词句的读音、释义及用法,是语言学习和写作的有利工具。

 

Copyright © 2004-2024 vtrois.com All Rights Reserved
更新时间:2026/4/18 0:58:38