吐来抗[中]
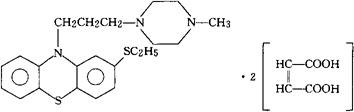
C22H29N3S2·2C4H4O4=631.76 CAS-1179-69-7 CAS-1420-55-9(thiethylperazine) 2-(乙硫基)-10-[3-(4-甲基-1-哌嗪基)丙基]吩噻嗪马来酸盐(1∶2)。 2-(Ethylthio)-10-[3-(4-methyl-1-piperazinyl) propyl]phenothiazine maleate(1∶2). 2-羟-1,4-丁二酸-2-(乙硫基)-10[3-(4-甲基-1-哌嗪基)丙基]-10H-吩噻嗪。 2-(Ethylthio)-10[3-(4-methyl-1-piperazinyl) propyl]-10H-phenothiazine 2-hydroxy-1,4-butanedioate. 镇吐药。 用于恶心呕吐。 马来酸硫乙哌嗪,甲哌硫丙嗪,吐立抗,马来酸噻乙哌嗪。 Thiethylperazine Maleate,Torecan(Maleate),Toresten,GS 95,NSC 130004,Tietylperazine. 吐来抗片(甲哌硫丙嗪片,硫乙哌丙嗪片)。 JAN,USAN,USP,MI. 
|