网站首页  词典首页


请输入您要查询的字词:

 

字词 同步带传动的设计计算
类别 中英文字词句释义及详细解析
释义 同步带传动的设计计算

同步带传动的最主要参数是节距pb。它是在规定的张紧力下,同步带纵截面上相邻两齿对称中心线的距离,如图4.14-6所示。在同步带中保持原长度不变的周线称为节线,节线长Lp为公称长度。同步带有单面齿和双面齿两种,简称单面带和双面带。双面带按齿排列的不同,有DA型(对称齿型)和DB型(交差齿型),如图4.14-7所示。标准同步带有7种型号,其齿形尺寸见表4.14-21,节线长度系列及其极限偏差见表4.14-22,带宽系列见表4.14-23,同步带传动的设计计算见表4.14-24,有关参数分别见表4.14-25~4.14-28。图4.14-8所示为同步带选型图线。

表4.14-21 标准同步带的齿形尺寸(摘自GB11616-89) mm

同步带轮一般采用渐开线齿形,由渐开线齿形带轮刀具用范成法加工而成。齿条刀具的尺寸和公差见表4.14-29。也可以使用直边齿形,直边齿带轮的尺寸和公差见表4.14-30。标准同步带轮的直径见表4.14-31,带轮宽度见表4.14-32。同步带在运转时,有轻度的侧向推力。为防止带脱落的挡圈尺寸见表4.14-33。带轮的公差和表面粗糙度见表4.14-34,同步带传动的轴间距公差见表4.14-35。

表4.14-29 渐开线齿形带轮加工刀具一齿条刀具的尺寸和公差(摘自GB11361-89)

注:GB11361-89规定了带轮间的允许偏斜角△θ,带宽bs≤25.4mm时,tg△θ≤6/1000;bR=38.1~50.8mm时,tg△θ≤4.5/1000;bs≥76.2mm时,tg△θ≤3/1000。

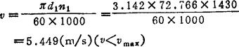
例4.14-2 设计一液体搅拌机的同步带传动。该设备由额定功率为2.2kW、转速n1=1430r/min的鼠笼式电动机驱动。搅拌机转速n2=430r/min,中心距a0为500mm左右,带轮直径不受限制,每日三班制工作。

设计计算的方法和步骤如下:

功率计算:由表4.14-25查得K0=1.8,于是Pb=K0·P=1.8×2.2=3.96(kW)

选择带型、节距Pb:根据Pd和n1由图4.14-8选得带的节距代号为H,对应的节距Pb=12.700mm。

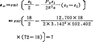
小带轮齿数z1:由表4.14-28查得小带轮最小齿数z1min=18。取小带轮齿数z1=18。

小带轮节圆直径:

大带轮齿数

取标准带轮齿数z2=72(见表4.14-31)。

大带轮节圆直径:

带速:

初定中心距a0:根据机器结构要求:

0.7(d1+d2)≤a0≤2(d1+d2)

则0.7(d1+d2)=0.7×(72.766+291.06)

=254.678

2(d1+d2)=2×(72.766+291.06)=727.652

取a0=500(mm)

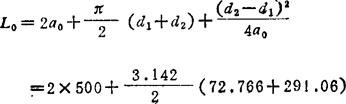
带长L0及其齿数Z:

根据表4.14-22选取标准节线长Lp=1600.20mm。带的齿数由表4.14-22查得Z=126。带长代号为630。

实际中心距(轴间距可调):

小带轮啮合齿数:

基本额定功率:由表4.14-26查得H型基准宽度b30=76.2mm,由表4.14-27查得基准宽度bs0的带的许用工作拉力T0=2100N,由表4.14-27查得带的单位长度的质量m=0.448kg/m,于是,

带宽:因zm>6,取Kz=1,于是

由表4.14-23查得带宽代号为150的H型带的bs=38.1(mm)。

作用在轴上的力:

选用同步带630H150。其余从略。

随便看

 

离鸟网收录3541549条中英文词条,其功能与新华字典、现代汉语词典、牛津高阶英汉词典等各类中英文词典类似,基本涵盖了全部常用中英文字词句的读音、释义及用法,是语言学习和写作的有利工具。

 

Copyright © 2004-2024 vtrois.com All Rights Reserved
更新时间:2026/4/17 22:08:27